
Figure 1
Figure 2
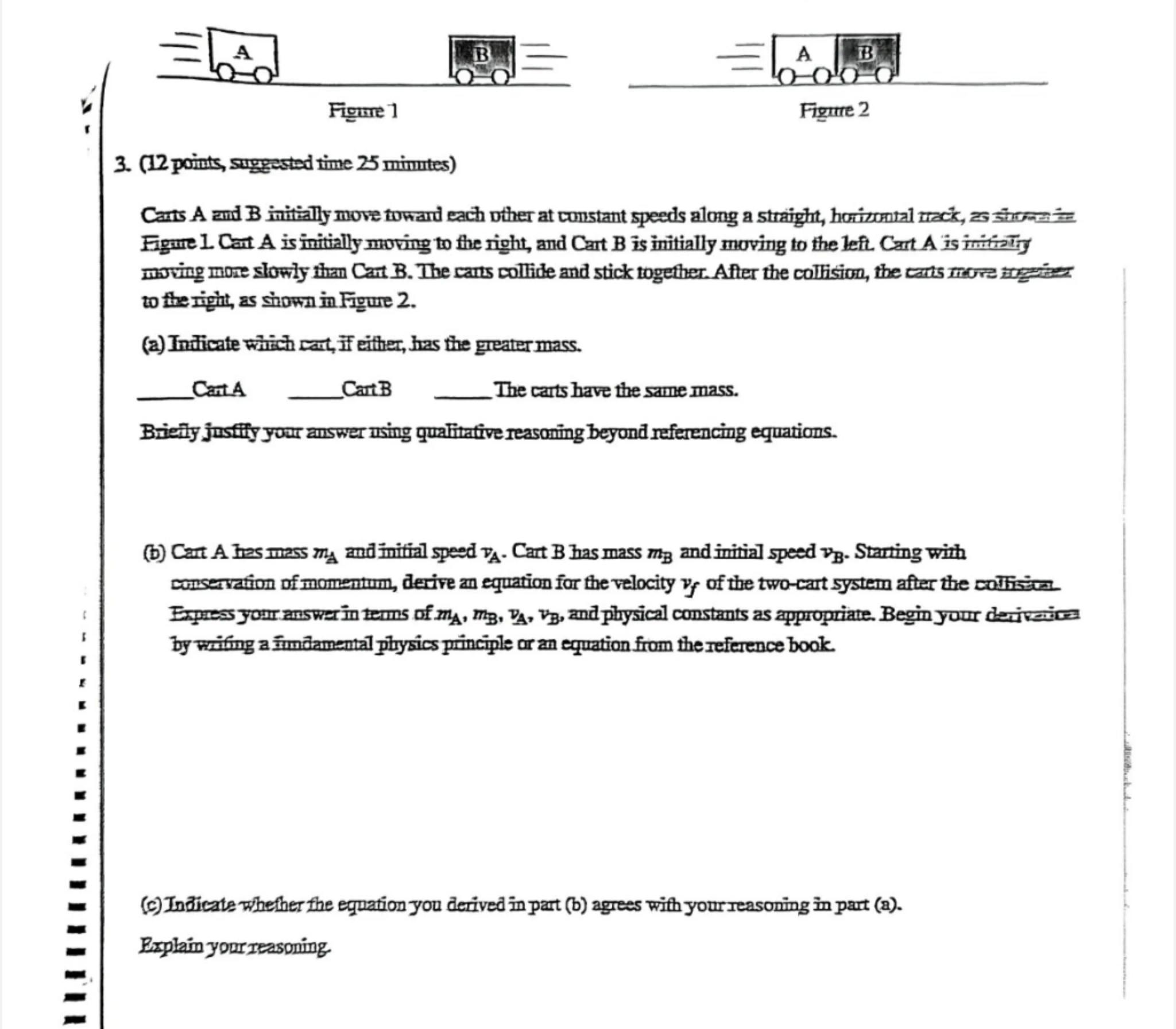
3. (12 points, sugzested time 25 minutes) Figure 1. Cat A is initially moving to the right, and Cart B is initially moving to the left. Cart A is in.iिistyg to fle Iight, as sinowinim Figure 2.
(a)Inficate winich rait, if either, has the greater mass.
Cant Cart B The carts have the same mass.
Brieffy justify your amswer ming qualitative reasoning beyond referencing equations.
6
t
(b) Cant A hes meass and finitial speed . Cart has mass and initial speed . Starting winh conservation of momentum, derire an equation for the velocity of the two-cart system after the coltision Express your answerin terms of , and physical constants as appropriate. Begin your derivaire by wrifing a İmatamemtal physics principle or an equation from the reference book.
(c) Indicate whefher fhe equation you derived in part (b) agrees with your reasoning in paut (a).
Explain your reasoning.
Not the question you are looking for? Ask here!
Enter question by text
Enter question by image
Unlock Smarter Learning with AskSia Super!
Join Super, our all-in-one AI solution that can greatly improve your learning efficiency.